Supreme Court Exam Date and Admit Download 2025 has been published. Supreme Court of Bangladesh Exam Date and Admit Card Download 2025 has been published by the authority. Supreme Court High Court Division Exam Date and Admit Download 2025 is good news for job seekers. All High Court Division Office Assistant Exam Date and Admit Download 2025 information is available below. Bangladesh Supreme Court is a government organization in Bangladesh.
Supreme Court Exam Date and Admit Download 2025:
Organization Name: Bangladesh Supreme Court
See more…
-
Supreme Court Job Viva Date 2025
-
Supreme Court Practical Test Result 2025
-
Supreme Court Previous Job Exam Question Solution
Organization Name: Bangladesh Supreme Court (High Court Division)
Post Name and Vacancy:
1. Office Assistant – 17
Total Vacancy: 17
Exam Date: 22 November 2025
Exam Time: 03:00 PM
Exam Type: MCQ
Office Assistant Total MCQ Exam Candidates: 12,960
Office Assistant Written Exam Date: 29 November 2025
Written Exam Time: 10:00 AM
Exam Type: Written
Office Assistant Total Selected for Written Exam: 572
Admit Download Link: Click Here to download the Admit Card
N.B: SMS has been sent to the candidate’s mobile number to download the admit card. Detailed Viva and MCQ Exam information is available on the admit card.
Office Assistant Exam Seat Plan PDF Notice Link: Click here to see the Official Exam Seat Plan Notice
See/download the Bangladesh Supreme Court Exam Date and Seat Plan Notice 2025 from the images below:
The Job Circular information was:
Job Circular Year: 2025
Online Application Last Date: 11 November 2025
Online Application Start Date: 05 November 2025
Official Circular PDF Notice Link: Click here to see the Official Circular Notice
Previous Exam Notice of the Year: 2025
Organization Name: Bangladesh Supreme Court (High Court Division)
Post Name and Vacancy:
1. Personal Officer – 07
2. Farash – 03
3. Mali (Gardener) – 01
Total Vacancy: 11
Mali Viva Date: 29 October to 11 November 2025
Viva Time Shift: 10:00 AM
Farash Viva Date: 12 to 20 November 2025
Viva Time Shift: 10:00 AM
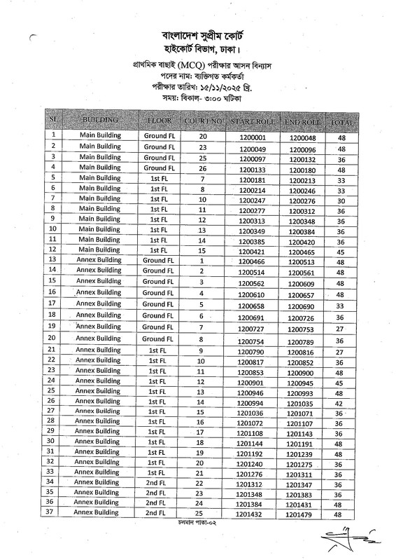
Personal Officer Exam Date: 15 November 2025
Exam Time: 03:00 PM to 03:40 PM
Exam Type: MCQ
Personal Officer Written Exam Date: 31 January 2026
Exam Time: 10:00 AM to 11:30 AM
Exam Type: Written Exam
Admit Download Link: Click Here to download the Admit Card
N.B: SMS has been sent to the candidate’s mobile number to download the admit card. Detailed Viva and MCQ Exam information is available on the admit card.
Personal Officer Written Exam Date PDF Notice Link: Click here to see the Official Exam Notice
Personal Officer Exam Seat Plan PDF Notice Link: Click here to see the Official Exam Seat Plan Notice
Personal Officer MCQ Exam Date PDF Notice Link: Click here to see the Official Exam Notice
Farash Viva Date PDF Notice Link: Click here to see the Official Viva Notice
Mali Viva Date PDF Notice Link: Click here to see the Official Viva Notice
See/download the Bangladesh Supreme Court Exam Date and Seat Plan Notice 2025 from the images below:
Personal Officer Exam Seat Plan Notice:
Personal Officer Exam Date Notice:
Farash Viva Date Notice:
Mali Viva Date Notice:
Previous Exam Notice of the Year: 2025
Organization Name: Bangladesh Supreme Court (High Court Division)
Post Name and Vacancy:
1. MLSS (Office Sohayok) – 14
Total Vacancy: 14
Viva Date: 13 to 22 July 2025
VivaTime Shift: 10:00 AM, 02:00 PM
Viva Admit Download Link: Click Here to Download Admit Card
N.B: SMS has been sent to the candidate’s mobile number to download the admit card. Detailed Viva information is available on the admit card.
Official Viva Date PDF Notice Link: Click here to see the Official Viva Notice
The Job Circular information was:
Job Circular Year: 2025
Organization Name: Bangladesh Supreme Court (High Court Division)
Online Application Last Date: 08 May 2025
Online Application Start Date: 21 April 2025
Official Circular PDF Notice Link: Click here to see the Official Circular Notice
Newspaper Circular Notice Link: Click here to see the Newspaper Circular Notice
Previous Exam Notice of the Year: 2025
Organization Name: Bangladesh Supreme Court (High Court Division)
Post Name and Vacancy:
1. Office Assistant – 35
2. Typist Cum Office Assistant – 06
3. Driver – 02
4. Sweeper (Cleaner) – 05
Total Vacancy: 48
Office Assistant Practical Test Date: 13 February to 06 March 2025
Exam Time Shift: 09:30 AM, 02:00 PM
Office Assistant Total Selected for Written Exam: 4996
Exam Date: 23 May 2025
Exam Time Shift: 03:00 PM to 04:30 PM
Exam Type: Written Exam
High Court Division Admit Download Link: Click Here to Download Admit
N.B: SMS has been sent to the candidate’s mobile number to download the admit card. The detailed Exam information is available on the admit card.
High Court Division Exam Date PDF Notice Link: Click here to see the Official Exam Notice
Job Exam Notice: 02
Organization Name: Bangladesh Supreme Court (Appellate Division)
Post Name and Vacancy:
1. Personal Officer (PO) – 02
2. Steno Typist – 03
3. Driver – 01
4. MLSS – 01
5. Watchman – 01
Total Vacancy: 08
Practical Test Exam Date: 09 to 27 April 2025
Exam Time Shift: 10:00 AM, 02:00 PM
Exam Type: Practical Test
Written Exam Date: 18 May 2025
Exam Time Shift: 10:00 AM
Exam Type: Written Exam
Appellate Division Admit Download Link: Click Here to Download Admit
N.B: SMS has been sent to the candidate’s mobile number to download the admit card. The detailed Exam information is available on the admit card.
Appellate Division Exam Date PDF Notice Link: Click here to see the Official Exam Notice
Previous Job Exam Date Notice of the Year: 2025
Organization Name: Bangladesh Supreme Court (Appellate Division)
Post Name and Vacancy:
1. Personal Officer (PO) – 02
2. Steno Typist – 03
3. Driver – 01
4. MLSS – 01
5. Watchman – 01
Total Vacancy: 08
Organization Name: Bangladesh Supreme Court (High Court Division)
Post Name and Vacancy:
1. Data Entry Control Operator – 01
2. Photostat Machine Operator – 01
Total Vacancy: 02
Exam Date: 09 to 27 April 2025
Exam Time Shift: 10:00 AM, 02:00 PM
Exam Type: Practical Test
Data Entry Operator Practical Test Date: 18 to 20 March 2025
Exam Time Shift: 10:00 AM
Data Entry Control Operator Written Exam Date: 19 April 2025
Exam Time: 10:00 AM
High Court Division Admit Download Link: Click Here to Download Admit
Appellate Division Admit Download Link: Click Here to Download Admit
N.B: SMS has been sent to the candidate’s mobile number to download the admit card. The detailed Exam information is available on the admit card.
Appellate Division Exam Date PDF Notice Link: Click here to see the Official Exam Notice
High Court Division Exam Date PDF Notice Link: Click here to see the Official Exam Notice
The Job Circular information was:
Organization Name: Bangladesh Supreme Court (High Court Division)
Online Application Last Date: 20 January 2025
Online Application Start Date: 05 January 2025
Official Circular PDF Notice Link: Click here to see the Official Circular Notice
Newspaper Circular Notice Link: Click here to see the Newspaper Circular Notice
The Circular information was:
Organization Name: Bangladesh Supreme Court (Appellate Division)
Online Application Last Date: 31 December 2024
Online Application Start Date: 19 December 2024
Official Circular PDF Notice Link: Click here to see the Official Circular Notice
Previous Exam Notice of the Year: 2025
Organization Name: Bangladesh Supreme Court (Appellate Division)
Post Name and Vacancy:
1. Personal Officer (PO) – 02
2. Steno Typist – 03
3. Driver – 01
4. MLSS – 01
5. Watchman – 01
Total Vacancy: 08
Organization Name: Bangladesh Supreme Court (High Court Division)
Post Name and Vacancy:
1. Office Assistant – 35
2. Typist Cum Office Assistant – 06
3. Driver – 02
4. Sweeper (Cleaner) – 05
Total Vacancy: 48
Exam Date: 18 January to 06 March 2025
Exam Time Shift: 09:00 AM, 09:30 AM, 10:00 AM
Exam Type: Practical Test + Viva
Office Assistant Practical Test Date: 13 February to 06 March 2025
Exam Time Shift: 09:30 AM, 02:00 PM
High Court Division Admit Download Link: Click Here to Download Admit
Appellate Division Admit Download Link: Click Here to Download Admit
N.B: SMS has been sent to the candidate’s mobile number to download the admit card. The detailed Exam information is available on the admit card.
Office Assistant Exam Date PDF Notice Link: Click here to see the Official Exam Notice
Driver (Appellate Division) Exam Date PDF Notice Link: Click here to see the Official Exam Notice
Typist Cum Office Assistant Exam Date PDF Notice Link: Click here to see the Official Exam Notice
Sweeper (Cleaner) Exam Date PDF Notice Link: Click here to see the Official Exam Notice
Driver (High Court Division) Exam Date PDF Notice Link: Click here to see the Official Exam Notice
Driver (Appellate Division) Practical Date PDF Notice Link: Click here to see the Official Exam Notice
MLSS & Watchman Exam Date PDF Notice Link: Click here to see the Official Exam Notice
The Circular information was:
Organization Name: Bangladesh Supreme Court (High Court Division)
Online Application Last Date: 17 December 2024
Online Application Start Date: 02 December 2024
Official Circular PDF Notice Link: Click here to see the Official Circular Notice
Courtesy: To all authorities from where documents are collected
N.B: Generally, we try to update any news. We are not responsible for any changes, reforms, or republishing of any news. Any Transaction of money for recruitment is illegal. So, don’t pay money to anyone for recruitment purposes.
For more updates, stay with our website jobstestbd.com
Supreme Court Job Exam Notice 2025:
Supreme Court Job Exam Date and Admit Download Notice 2025 have been published by the authority. Supreme Court Job Circular information is given above. Bangladesh Supreme Court is one of the largest Government organizations in Bangladesh. The Supreme Court Job Circular is given on our website, jobstestbd.com. We publish all job circulars every day, Such as Government Jobs in Bangladesh, Bank Jobs in Bangladesh, Private Jobs in Bangladesh, International NGOs in Bangladesh, Private companies in Bangladesh, and Private University Jobs in Bangladesh. Bank Jobs Results, Government Jobs Results, Government University Jobs Results in Bangladesh, and all Part-time Jobs in Bangladesh, and other educational support are available here on our website. We provide different types of job information, including some effective information or resources, and job tips that help to get a job easily. We trust that our distribution data helps job seekers who are looking for better employment. We likewise share slanting assets for learners who are expanding their insight. Our prime target turn into a trustworthy occupation around the site in Bangladesh by distributing a genuine refresh that enables opportunities to individuals. All the jobs on this website are not only for unemployed people but also for employed people. All types of suggestions and question solutions for the different competitive exams are available here. We provide all types of educational support on our website, jobstestbd.com. So every day, visit our website for all kinds of educational support. Please like our Facebook page, jobstestbd.com.
Contact Us:
If you want to advertise on our website for any product of your organization, please contact us at the following Address.
Inbox to Facebook: jobstestbd.com
Email at: jobstestbd.com@gmail.com
Contact No.: 01720403750
Mirpur 1, Dhaka, Bangladesh.
















