Sheikh Fazilatunnesa Mujib Eye Hospital and Training Institute (SFMEHTI) Job Circular 2023 has been published. SFMEHTI Job Circular 2023 has been published by the authority. Sheikh Fazilatunnesa Mujib Eye Hospital and Training Institute Job Circular 2023 is good news for job seekers. All information on the SFMEHTI Data Entry Operator Job Circular 2023 is available below. Sheikh Fazilatunnesa Mujib Eye Hospital and Training Institute (SFMEHTI) is a Government organization in Bangladesh.
Sheikh Fazilatunnesa Mujib Eye Hospital and Training Institute Job Circular 2023:
Organization Name: Sheikh Fazilatunnesa Mujib Eye Hospital and Training Institute (SFMEHTI)
Post Name And Vacancy:
1. Health Educator – 01
2. Pharmacist – 03
3. Computer Operator – 04
4. Driver – 05
5. House Keeper – 02
6. Office Assistant Cum Computer Typist – 04
7. Linen Keeper – 01
8. Instrument Caretaker – 02
9. Telephone Operator – 02
10. Data Entry Operator – 03
11. Receptionist – 02
12. Diet Clerk – 02
13. Ward Master – 01
Total Vacancy: 32
Online Application Link: Click Here To Apply
Online Application Direct Link: Click Here To Apply
Age Limit: 25 March 2020 [Back Date]
Online Application Last Date: 24 July 2023
Online Application Start Date: 24 June 2023
Official Circular Notice Link: Click Here To See Official Job Circular Notice
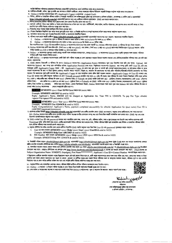
See/download the Sheikh Fazilatunnesa Mujib Eye Hospital and Training Institute (SFMEHTI) Job Circular 2023, Apply Instructions, Job Application form, Application Fee, Payment Process, Salary, Age and Other Information in the image below:
Courtesy: To all authorities from where documents are collected
N.B: Generally we try to update any news. For any Change, reform or republished of any news, we are not responsible.
For more updates stay on our website jobstestbd.com
Sheikh Fazilatunnesa Mujib Eye Hospital and Training Institute Job Circular 2023:
SFMEHTI Job Circular 2023 has been published by the authority. Sheikh Fazilatunnesa Mujib Eye Hospital and Training Institute (SFMEHTI) Job Circular All information are given below. Sheikh Fazilatunnesa Mujib Eye Hospital and Training Institute (SFMEHTI) is one of the largest Government organizations in Bangladesh. Sheikh Fazilatunnesa Mujib Eye Hospital and Training Institute (SFMEHTI) has published a huge job circular for the Authority. All information regarding the appointment of the Sheikh Fazilatunnesa Mujib Eye Hospital and Training Institute (SFMEHTI) is given on our website jobstestbd.com. We Publish all Jobs Circular Every day, Such as Government Jobs in Bangladesh, Bank Jobs in Bangladesh, Privet Jobs in Bangladesh, International NGOs in Bangladesh, Privet companies in Bangladesh, Private University Jobs in Bangladesh. Bank Jobs Results, Government Jobs Results, Government University Jobs result in Bangladesh and all Part-time Jobs in Bangladesh and other educational support are available here on our website. We provide different types of job information with also provide some effective information or resource and job tips which helps to get a job easily. We trust that our distributing data helps the activity searchers who are finding for better employment. We likewise share slanting assets for learners uniquely who is re expanding their insight. Our principle target turns into a trusty occupations round site in Bangladesh by distributing a genuine refresh that enables opportunities to individuals. All the jobs on this website are not for unemployed people but also for employed people too. All types of suggestions and question solutions for the different competitive exams are available here. We provide all types of educational support on our website jobstestbd.com. So every day visit our website for all kinds of educational support. Please like our Facebook page jobstestbd.com.
Contact Us:
If you want to give an advertisement on our website for any product of your organization please contact with us by following Address.
Inbox to Facebook: jobstestbd.com
Email at: jobstestbd.com@gmail.com
Contact No.: 01720403750
Mirpur 1, Dhaka, Bangladesh.



