Gazipur Development Authority (GDA) Exam Result 2025 has been published. The authority has published the GDA Gazipur Exam Result 2025. Gazipur Development Authority Exam Result 2025 is good news for job seekers. All information on the GDA Gazipur Written Exam Result 2025 is available below. The Gazipur Development Authority (GDA) is a government organization in Bangladesh.
Gazipur Development Authority Exam Result 2025:
Organization Name: Gazipur Development Authority (GDA)
See more…
Post Name and Vacancy:
1. Assistant Engineer (Civil) – 03
2. Assistant Engineer (Electrical) – 01
3. Assistant Director – 02
4. Assistant Architect – 01
5. Assistant Programmer – 01
6. Assistant Town Planner – 03
7. Assistant Authorised Officer – 04
8. GIS Analyst – 01
9. Sub-Assistant Engineer (Civil) – 04
10. Sub-Assistant Engineer (Electrical) – 02
11. Sub-Assistant Architect – 01
12. Deputy Assistant Director – 01
13. Estate Inspector – 02
14. Kanungo – 01
15. Building Inspector – 12
16. Assistant GIS Analyst – 02
17. Assistant Accounts Officer – 01
18. Autocad Operator – 04
19. Draftsman – 02
20. Accountant – 01
21. Computer Operator – 01
22. Store Keeper – 01
23. Auditor – 01
24. Steno Typist Cum Computer Operator – 03
25. Security Supervisor – 01
26. Surveyor – 09
27. Data Entry Operator – 01
28. Office Assistant Cum Computer Typist – 10
29. Bench Assistant – 01
30. Accounts Assistant – 01
31. Work Assistant – 14
32. Office Sohayok – 10
33. Surveymate – 09
34. Driver (Light Vehicle) – 03
Total Vacancy: 114
MCQ Exam Date: 26 December 2025
Exam Time: 10:30 AM to 11:30 AM, 03:00 PM to 04:00 PM
Exam Type: MCQ (Preliminary Exam)
Written Exam Date: 07 January 2026
Exam Time: 10:30 AM to 12:30 PM, 02:30 PM to 04:30 PM
Exam Type: Written Exam
Viva Date: 11 to 15 January 2026
Viva Time Shift: 11:00 AM, 12:00 PM, 02:30 PM, 03:30 PM
Official Viva Date PDF Notice Link: Click here to see the Official Viva Notice
Official Written Exam Result PDF Notice 02 Link: Click here to see the Official Exam Result Notice
Official Revised Written Exam Date PDF Notice Link: Click here to see the Official Written Exam Notice
Official Exam Result PDF Notice 01 Link: Click here to see the Official Exam Result Notice
Official Exam Result PDF Notice 02 Link: Click here to see the Official Exam Result Notice
Official Written Exam Date PDF Notice Link: Click here to see the Official Written Exam Notice
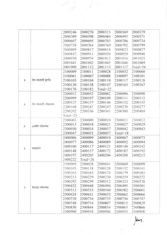
See/download the Gazipur Development Authority Exam Result Notice 2025 from the images below:
Courtesy: To all authorities from where documents are collected.
N.B: Generally, we try to update any news. For any Change, reform, or republishing of any news, we are not responsible.
For more updates, stay with our website jobstestbd.com
Gazipur Development Authority GDA Job Exam Result 2025:
GDA Job Exam Result 2025 has been published by the authority. Gazipur Development Authority (GDA) Job Circular information is given above. The Gazipur Development Authority (GDA) is one of the largest Government organizations in Bangladesh. The Gazipur Development Authority (GDA) Job Circular is given on our website jobstestbd.com. We publish all job circulars daily, Such as Government Jobs in Bangladesh, Bank Jobs in Bangladesh, Private Jobs in Bangladesh, International NGOs in Bangladesh, Private Companies in Bangladesh, and Private University Jobs in Bangladesh. Bank Jobs Results, Government Jobs Results, Government University Jobs Results in Bangladesh, and all Part-time Jobs in Bangladesh, along with other educational support, are available on our website. We provide different types of job information, and also provide some effective information or resources and job tips that help to get a job easily. We trust that our distributed data helps job seekers who are looking for better employment. We likewise share slanting assets for learners who are expanding their insight. Our prime target turns into a trustworthy occupation round site in Bangladesh by distributing a genuine update that provides opportunities to individuals. All the jobs on this website are not only for unemployed people but also for employed people. All types of suggestions and question solutions for the different competitive exams are available here. We provide all types of educational support on our website, jobstestbd.com. So every day, visit our website for all kinds of educational support. Please like our Facebook page, jobstestbd.com.
Contact Us:
If you want to give an advertisement on our website for any product of your organization, don’t hesitate to get in touch with us by following the Address.
Inbox to Facebook: jobstestbd.com
Email at: jobstestbd.com@gmail.com
Contact No.: 01720403750
Mirpur 1, Dhaka, Bangladesh.






-Exam-Result-2025-PDF-1.jpg)
-Exam-Result-2025-PDF-2.jpg)
-Exam-Result-2025-PDF-3.jpg)




