DGFP Final Viva Result 2026 has been published. Directorate General of Family Planning Final Result 2026 has been published by our educational team. Family Planning Final Result 2026 is good news for job seekers in Bangladesh. All information on the DGFP Final Result 2026 is available below. The Directorate General of Family Planning (DGFP) is a renowned Government organization in Bangladesh.
Directorate General of Family Planning Final Result 2026:
Organization Name: Directorate General of Family Planning (DGFP)
See more…
-
DGFP Practical Test Date 2023
-
DGFP Viva Date 2023
-
DGFP Job Appointment Letter 2023
-
DGFP Exam Result 2023
-
DGFP FWV Exam Question Solution 2023
Post Name And Vacancy:
1. Pharmacist – 275
2. Medical Technologist (Lab) – 148
3. Medical Technologist (Radio) – 02
4. Health Educator – 01
5. Stenographer Cum Computer Operator – 03
6. Computer Operator – 01
7. Field Trainer – 01
8. Chief Assistant – 01
9. Accountant – 03
10. Upper Division Assistant – 01
11. Research Assistant – 02
12. Steno Typist Cum Computer Operator – 40
13. Statistics Assistant – 05
14. Store Keeper – 05
15. Cashier (Treasurer) – 06
16. Assistant Librarian – 02
17. EPI Technician – 01
18. Office Assistant Cum Computer Typist – 159
19. Telephone Operator – 02
20. Data Entry/Control Operator – 01
21. Wordmaster – 02
22. Linen Keeper – 02
23. Instrument Caretaker – 02
24. Ticket Clerk – 04
25. Sterilizer cum Mechanic – 02
26. Kitchen Supervisor – 01
27. Record Keeper – 01
28. Cardiographer – 01
29. Driver – 34
30. Electrician – 01
31. Office Sohayok – 404
32. MLSS/Security Guard – 374
33. Security Guard – 09
34. Watchman – 01
35. Cook Helper – 01
36. Cleaner – 64
Total Vacancy: 1562
Exam Date: 21 January 2023
Exam Time: 3.00 PM
Practical Test Date: 28 October 2023
Viva Schedule: 09 to 12 October 2023
MLSS/Security Guard Viva Schedule: 22 to May 2023
MLSS/Security Guard Selected for Viva: 1122
Viva Shift and Viva Board: Daily 02 Shift
1st Shift Viva Start Time: 10.00 AM
2nd Shift Viva Start Time: 1.30 PM
Official Final Result PDF Notice Link: Click here to see the Official Final Result Notice
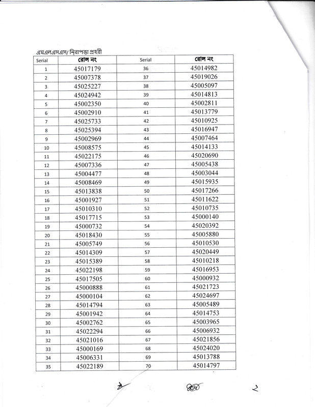
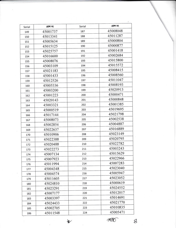
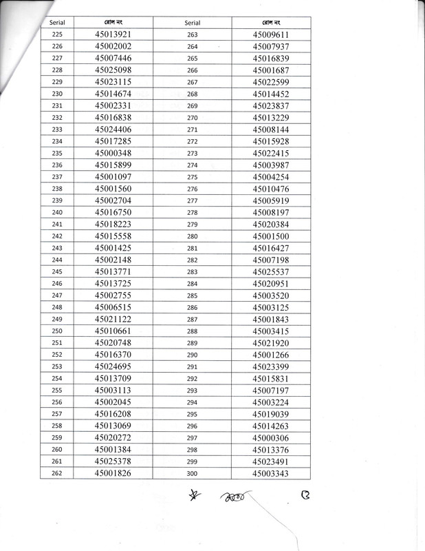
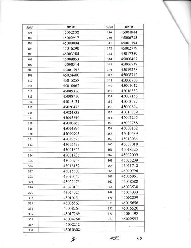
See/download Directorate General of Family Planning Final Result 2026 from the images below:
The Job Circular Information Was:
Online Application Last Date: 30 November 2020
Online Application Start Date: 09 November 2020
Age Limit: 25 March 2020
Revised Online Application Last Date: 15 October 2021
Revised Online Application Start Date: 06 October 2021
Official Revised Job Circular PDF Notice Link: Click here to see the Official Revised Circular Notice
Official Circular PDF Notice Link: Click here to see the Official Circular Notice
Courtesy: To all authorities from where documents are collected.
N.B: Generally, we try to update any news. For any Change, reform, or republishing of any news, we are not responsible.
For more updates, stay with our website jobstestbd.com
Family Planning Final Viva Result 2026:
Family Planning Final Result 2026 has been published by the authority. Directorate General of Family Planning (DGFP) Job Circular all information is given above. The Directorate General of Family Planning (DGFP) Job Circular has been published for various categories of posts. The Directorate General of Family Planning (DGFP) is one of the largest Government organizations in Bangladesh. The Directorate General of Family Planning (DGFP) has published a huge job circular for the Authority. All information regarding the appointment of the Directorate General of Family Planning (DGFP) is given on our website, jobstestbd.com. We publish all job circulars every day, Such as Government Jobs in Bangladesh, Bank Jobs in Bangladesh, Private Jobs in Bangladesh, International NGOs in Bangladesh, Private companies in Bangladesh, and Private University Jobs in Bangladesh. Bank Jobs Results, Government Jobs Results, Government University Jobs Results in Bangladesh, and all Part-time Jobs in Bangladesh and other educational support are available here on our website. We provide different types of job information, and also provide some effective information or resource and job tips that help to get a job easily. We trust that our distribution of data helps the activity searchers who are finding superior employment. We likewise share slanting assets for learners who are expanding their insight. Our prime target turns into a trusty occupations round site in Bangladesh by distributing a genuine update that enables job seekers to find jobs. All the jobs on this website are not only for unemployed people but also for employed people. All types of suggestions and question solutions for the different competitive exams are available here. We provide all types of educational support on our website, jobstestbd.com. So every day, tune in to our website for all kinds of educational support. Please like our Facebook page, jobstestbd.com.
Contact Us:
If you want to give an advertisement on our website for any product of your organization, please contact us at the following Address.
Inbox to Facebook: jobstestbd.com
Email at: jobstestbd.com@gmail.com
Contact No.: 01720403750
Mirpur 1, Dhaka, Bangladesh.

















