Civil Surgeon Office Chittagong Viva Date 2025 has been published. The authority has published the CS Office Chittagong Viva Date 2025. Civil Surgeon Office Chittagong Health Assistant Viva Date 2025 is good news for job seekers. All information on the Chittagong Civil Surgeon Office Viva Date 2025 is available below. Civil Surgeon’s Office, Chittagong, is a Government organization in Bangladesh.
Civil Surgeon Office Chattogram Viva Date 2025:
Organization Name: Civil Surgeon’s Office, Chittagong
See more…
-
Civil Surgeon Office Barishal Exam Question Solution 2025
-
Civil Surgeon Office Sunamganj Exam Question Solution 2024
-
Civil Surgeon Office Rajbari Exam Question Solution 2024
-
Civil Surgeon Office Thakurgaon Exam Question Solution 2024
Post Name And Vacancy:
1. Statistician – 05
2. Office Assistant Cum Computer Typist – 15
3. Health Assistant – 134
4. Store Keeper – 04
5. Driver – 03
6. Office Shohayok (Office Support Staff) – 10
Total Vacancy: 171
Exam Date: 19 December 2025
Exam Time: 10:00 AM to 11:30 AM, 10:00 AM to 11:00 AM
Exam Type: Written
Exam Centre: Chittagong
Practical Test and Viva Date: 21 December 2025 to 01 January 2026
Practical Test and Viva Time Shift: 09:00 AM, 10:00 AM, 12:01 PM
Official Revised Viva Date PDF Notice Link: Click here to see the Official Revised Viva Date Notice
Official Viva Date PDF Notice Link: Click here to see the Official Viva Date Notice
Official Practical Test Result PDF Notice Link: Click here to see the Official Practical Test Notice
Official Practical Test PDF Notice Link: Click here to see the Official Practical Test Notice
Official Exam Result PDF Notice Link: Click here to see the Official Exam Result Notice
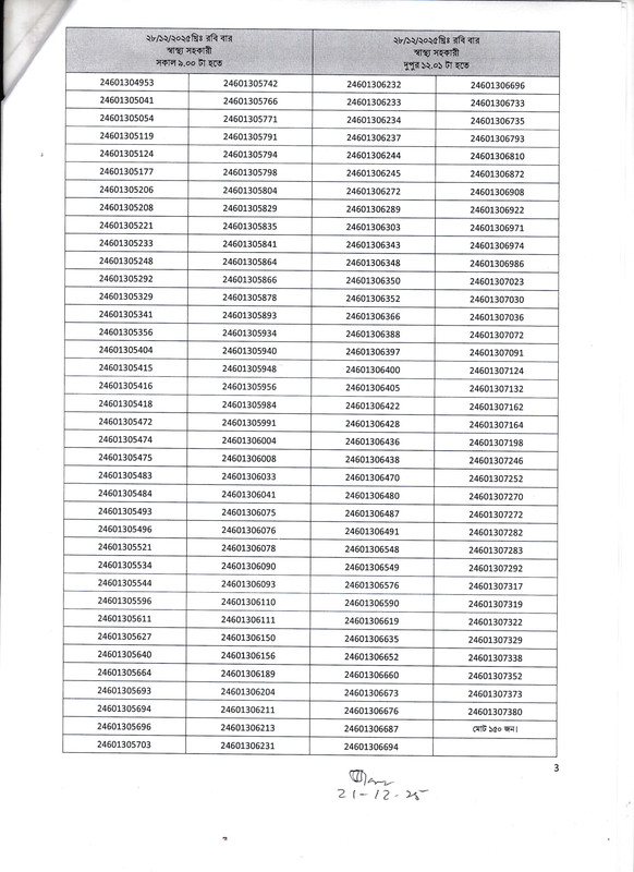
See/download the Civil Surgeon Office Chittagong Viva Notice 2025 from the images below:
Viva Date Notice:
Courtesy: To all authorities from where documents are collected.
N.B: Generally, we try to update any news. We are not responsible for any changes, reforms, or republishing of any news.
For more updates, stay on our website, jobstestbd.com
Chattogram Civil Surgeon Office Viva Date 2025:
The authority has published the Civil Surgeon Office Chattogram Job Viva Date 2025. Civil Surgeon Office Chattogram Job Circular information is given below. Civil Surgeon’s Office, Chattogram, is one of the largest Government organizations in Bangladesh. Civil Surgeon Office Chattogram has published a huge job circular for the Authority. All information regarding the appointment of the Civil Surgeon Office, Chattogram, is given on our website, jobstestbd.com. We publish all job circulars daily, including government jobs in Bangladesh, Bank Jobs in Bangladesh, Private Jobs in Bangladesh, International NGOs in Bangladesh, Private companies in Bangladesh, and Private University Jobs in Bangladesh. Bank Jobs Results, Government Jobs Results, Government University Jobs Results in Bangladesh, and all Part-time Jobs in Bangladesh and other educational support are available here on our website. We provide various types of job information, including effective resources and job tips, to help you easily find a job. We trust that our distribution of data helps job seekers who are looking for better employment. We likewise share slanting assets for learners who are expanding their insight. Our prime target turns into a trusty occupations round site in Bangladesh by distributing a genuine update that enables opportunities for individuals. All the jobs on this website are not only for unemployed people but also for employed people. All types of suggestions and question solutions for the different competitive exams are available here. We provide all types of educational support on our website,jobstestbd.com. So every day, visit our website for all kinds of educational support. Please like our Facebook page, jobstestbd.com.
Contact Us:
If you want to give an advertisement on our website for any product of your organization, don’t hesitate to get in touch with us by following the address.
Inbox to Facebook: jobstestbd.com
Email at: jobstestbd.com@gmail.com
Contact No.: 01720403750
Mirpur 1, Dhaka, Bangladesh.








