BBS Viva Date 2026 has been published. Bangladesh Bureau of Statistics (BBS) Viva Date 2026 has been published by the authority. BBS Junior Statistical Assistant Viva Date 2026 is good news for job seekers. All information on the BBS Statistical Assistant Viva Date 2026 is available below. The Bangladesh Bureau of Statistics (BBS) is a government organization in Bangladesh.
Bangladesh Bureau of Statistics (BBS) Viva Date 2026:
Organization Name: Bangladesh Bureau of Statistics (BBS)
See more…
-
BBS Junior Statistical Assistant Exam Question Solution 2025
-
BBS Exam Question Solution 2025
-
BBS Previous Year Exam Question Solution
-
BBS Junior Statistical Assistant Question Solution 2021
-
BBS Exam Syllabus and Marks Distribution
-
BBS Statistical Assistant Exam Question Solution 2021
-
BBS Office Sohayok Exam Question Solution 2021
-
BBS Chainman Exam Question Solution 2021
-
BBS MCQ Exam Question Solution 2020
Organization Name: Bangladesh Bureau of Statistics (BBS)
Job Circular Notice: 01
Post Name and Vacancy:
1. Senior Draftsman – 04
2. Statistical Assistant – 85
3. Enumerator – 04
4. Junior Statistical Assistant – 226
5. Editing and Coding Assistant – 11
6. Computer Operator – 10
7. Draftsman – 03
8. Accountant – 01
9. Upper Division Assistant – 08
10. Cashier – 02
11. Steno Typist Cum Computer Operator – 09
12. Junior Draftsman – 09
13. Compositor – 04
14. Store Keeper – 01
15. Data Entry/Control Operator – 42
16. Dual Data Operator – 12
17. Computer Typist – 10
18. Office Assistant Cum Computer Typist – 23
19. Book Binder – 03
20. Driver – 05
Total Vacancy: 472
Job Circular Notice: 02
Organization Name: Bangladesh Bureau of Statistics (BBS)
Post Name and Vacancy:
1. Assistant Store Keeper – 02
2. Machine Man – 03
3. Machine Man Cum Cleaner – 02
4. Packer – 03
5. Chain Man – 179
6. Office Sohayok (Office Support Staff) – 77
Total Vacancy: 266
Exam Date: 23, 31 May, and 20 June 2025
Exam Time: 10:00 AM to 11:00 AM, 10:00 AM to 11:30 AM, 3:00 PM to 4:00 PM, 3:00 PM to 4:30 PM
Exam Type: Written Exam
Exam Centre: Dhaka
Viva Schedule 01: 08 to 28 December 2025
Viva Time Shift: 09:30 AM, 02:30 PM
Viva Schedule 02: 29 December 2025 to 17 January 2026
Viva Time Shift: 09:30 AM, 02:30 PM, 02:00 PM
Official Revised Viva Date PDF Notice 01 Link: Click here to see the Official Revised Viva Date Notice
Official Viva Postponed PDF Notice Link: Click here to see the Official Viva Postponed Notice
Official Viva Date PDF Notice 01 Link: Click here to see the Official Viva Date Notice
Official Viva Date PDF Notice 02 Link: Click here to see the Official Viva Date Notice
20 June Official Exam Result PDF Notice 01 Link: Click here to see the Official Exam Result Notice
20 June Official Exam Result PDF Notice 02 Link: Click here to see the Official Exam Result Notice
31 May Official Exam Result PDF Notice Link: Click here to see the Official Exam Result Notice
23 May Official Exam Result PDF Notice Link: Click here to see the Official Exam Result Notice
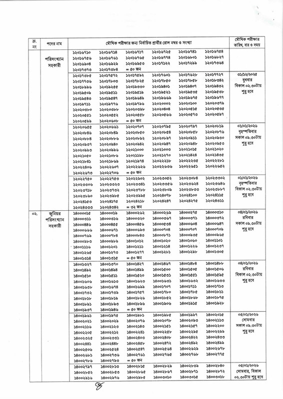
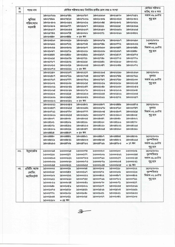
See/download the Bangladesh Bureau of Statistics Viva Date Notice 2026 from the images below:
Revised Viva Date Notice:
Viva Postponed Notice: [Viva Date 31 December 2025]
Viva Notice: 01
Viva Notice: 02
Courtesy: To all authorities from where documents are collected.
N.B: Generally, we try to update any news. We are not responsible for any changes, reforms, or republishing of news.
For more updates, stay with our website jobstestbd.com
Bangladesh Bureau of Statistics Viva Date 2026:
The authority has published the BBS Job Viva Notice 2026. Bangladesh Bureau of Statistics (BBS) Job Circular all information is given above. Bangladesh Bureau of Statistics (BBS) is one of the largest Government organizations in Bangladesh. Bangladesh Bureau of Statistics (BBS) has published a huge job circular. All information regarding the appointment of the Bangladesh Bureau of Statistics (BBS) is given on our website, jobstestbd.com. We publish all job circulars every day, Such as Government Jobs in Bangladesh, Bank Jobs in Bangladesh, Private Jobs in Bangladesh, International NGOs in Bangladesh, Private Companies in Bangladesh, and Private University Jobs in Bangladesh. Bank Jobs Results, Government Jobs Results, Government University Jobs Results in Bangladesh, and all Part-time Jobs in Bangladesh and other educational support are available here on our website. We provide different types of job information, along with providing some effective information or resources and job tips, which help to get a job easily. We trust that our distributed data helps job searchers who are finding superior employment. We likewise share slanting assets for learners who are expanding their insight. Our main target turns into a trustworthy occupation round site in Bangladesh by distributing a genuine update that enables individuals. All the jobs on this website are not only for unemployed people but also for employed people. Suggestions and question solutions for the different competitive exams are available here. We provide all types of educational support on our website, jobstestbd.com. So every day, tune in to our website for all kinds of educational support. Please like our Facebook page, jobstestbd.com.
Contact Us:
If you would like to advertise a product from your organization on our website, please contact us using the following Address.
Inbox to Facebook: jobstestbd.com
Email at: jobstestbd.com@gmail.com
Contact No.: 01720403750
Mirpur 1, Dhaka, Bangladesh.














