Anti-Corruption Commission (ACC) Exam Result 2026 has been published. Anti-Corruption Commission Exam Result 2026 has been published by the authority. Dudok Exam Result 2026 is good news for job seekers in Bangladesh. All information about the Anti-Corruption Commission Assistant Director Exam Result 2026 is available below. The Anti-Corruption Commission (ACC) is a government organization in Bangladesh.
Anti-Corruption Commission Exam Result 2026:
Organization Name: Anti-Corruption Commission (ACC)
See more…
-
ACC Constable Exam Question Solution 2022
-
ACC Constable Exam Question Solution 2019
-
NSI Watcher Constable Exam Question Solution 2021
-
Anti-Corruption Commission (ACC) Written Exam Question Solution 2020
-
Anti-Corruption Commission (ACC) Exam Question Solution 2019
-
ACC Previous Exam Question Solution
Organization Name: Anti-Corruption Commission (ACC)
Post Name and Vacancy:
1. Assistant Director – 20
2. Deputy Assistant Director – 50
3. Court Inspector – 03
4. Assistant Inspector – 10
5. Accountant – 01
6. Cashier – 01
Total Vacancy: 85
MCQ Exam Date: 28 November 2025 and 03, 09 January 2026
Exam Time: 10:00 AM to 11:00 AM
Exam Type: Preliminary (MCQ Type)
Preliminary (MCQ Type) Exam Marks: 100 Marks
Assistant Inspector Preliminary (MCQ Type) Exam Total Candidates: 15,015
Court Inspector Preliminary (MCQ Type) Exam Total Candidates: 1,159
Deputy Assistant Director Preliminary (MCQ Type) Exam Total Candidates: 99,609
Assistant Director Preliminary (MCQ Type) Exam Total Candidates: 41,071
Written Exam Date: 17 January 2026
Exam Time: 09:00 AM to 01:00 PM
Exam Type: Written Exam
Deputy Assistant Director Total Selected for Written Exam: 1,266
Assistant Director Total Selected for Written Exam: 582
Computer Test (Theoretical + Typing) Date: 20, 21 January 2026
Computer Test (Theoretical + Typing) Time Shift: 02:00 PM to 03:00 PM
Deputy Assistant Director Viva Date: 24 to 29 January 2026
Viva Time Shift: 09:00 AM to 12:00 PM, 12:30 PM to 04:30 PM
Assistant Director + Court Inspector Viva Date: 31 January 2026
Official AD + Court Inspector Final Result PDF Notice Link: Click here to see the Official Final Result Notice
Official DAD Final Result PDF Notice Link: Click here to see the Official Final Result Notice
Official AD Computer Test Result PDF Notice Link: Click here to see the Official Exam Result Notice
Official DAD Computer Test Result PDF Notice Link: Click here to see the Official Exam Result Notice
Official Written Exam Result PDF Notice 01 Link: Click here to see the Official Exam Result Notice
Official Written Exam Result PDF Notice 02 Link: Click here to see the Official Exam Result Notice
Official AD Exam Result PDF Notice Link: Click here to see the Official MCQ Exam Result Notice
Official DAD Exam Result PDF Notice Link: Click here to see the Official MCQ Exam Result Notice
Official Final Result PDF Notice Link: Click here to see the Official Final Result Notice
Official Computer Test Result PDF Notice Link: Click here to see the Official Computer Test Result Notice
Official Computer Test PDF Notice Link: Click here to see the Official Computer Test Notice
Official Written Exam Result PDF Notice Link: Click here to see the Official Exam Result Notice
Official Written Exam Seat Plan PDF Notice Link: Click here to see the Official Exam Seat Plan Notice
Official MCQ Exam Result PDF Notice Link: Click here to see the Official Exam Result Notice
See/Download Anti-Corruption Commission (ACC) Exam Result Notice 2026 from the images below:
Final Result Notice:
Computer Test (Theoretical + Typing) Result Notice:
Written Exam Result:
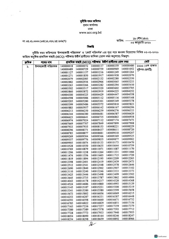
Assistant Director MCQ Exam Result Notice:
Deputy Assistant Director MCQ Exam Result Notice:
Courtesy: To all authorities from where documents are collected.
N.B.: Generally, we try to update any news. For any changes, reforms, or republishing of any news, we are not responsible.
For more updates, stay with our website jobstestbd.com
ACC (Dudok) Job Exam Result 2026:
The authority has published the ACC Job Exam Result 2026. The Anti-Corruption Commission (ACC) is one of the largest Government organizations in Bangladesh. The Anti-Corruption Commission (ACC) has published a huge job circular for the Authority. All information regarding the appointment of the Anti-Corruption Commission (ACC) is given on our website, jobstestbd.com. We publish all job circulars daily, including government jobs in Bangladesh, Bank Jobs in Bangladesh, Private Jobs in Bangladesh, International NGOs in Bangladesh, Private companies in Bangladesh, and Private University Jobs in Bangladesh. Results of Bank Jobs, Government Jobs, Government University Jobs, and Part-time Jobs in Bangladesh, as well as educational support, are available on our website. We provide different types of job information and give some adequate information or resources and job tips that help to get a job easily. We trust that our distributed data helps job seekers who are looking for superior employment. We likewise share slanting assets for learners who are expanding their knowledge. Our primary goal is to establish a trustworthy online platform in Bangladesh by providing accurate information that benefits individuals. All the jobs on this website are not only for unemployed individuals but also for those who are employed. All types of suggestions and solutions to questions for various competitive exams are available here. We provide various kinds of educational support on our website, jobstestbd.com. So every day, tune in to our website for all kinds of educational support. Please like our Facebook page, jobstestbd.com.
Contact Us:
If you would like to advertise a product from your organization on our website, please don’t hesitate to contact us by following the Address.
Inbox to Facebook: jobstestbd.com
Email at: jobstestbd.com@gmail.com
Contact No.: 01720403750
Mirpur 1, Dhaka, Bangladesh.






















