Taxes Zone-16 Dhaka Exam Result 2024 has been published. The authority has published the TAX16 Exam Result 2024. Tax Zone-16 Dhaka Job Circular 2024 is good news for the students. All information on Dhaka Tax Zone-16 Exam Result 2024 is available below. Taxes Zone-16 Dhaka is a government organization in Bangladesh.
Taxes Zone-16 Dhaka Exam Result 2024:
Organization Name: Taxes Zone-16 Dhaka
Post Name and Vacancy:
1. Computer Operator – 01
2. Head Assistant – 18
3. Upper Division Assistant – 16
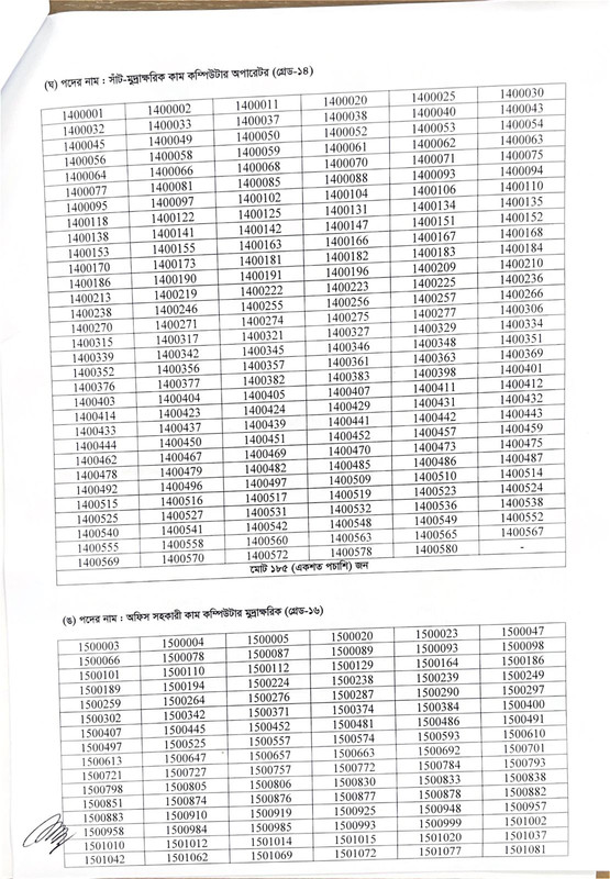
4. Steno Typist Cum Computer Operator – 17
5. Office Assistant Cum Computer Typist – 21
6. Office Support Staff (Office Sohayok) – 20
Total Vacancy: 93
Exam Date: 28 June 2024
Viva and Practical Test Date: 07 to 25 July 2024
Official Exam Result PDF Notice Link: Click here to see the Official Exam Result Notice
See/download the Taxes Zone-16 Dhaka Exam Result Notice 2024 from the below images:
Courtesy: To all authorities from where documents are collected
N.B: Generally we try to update any news. We are not responsible for any Change, reform, or republishing of any news.
For more updates stay with our website jobstestbd.com
Taxes Zone-16 Dhaka Job Exam Result 2024:
The authority has published the Taxes Zone-16 Exam Result 2024. Taxes Zone-16 Dhaka is one of the largest Government organizations in Bangladesh. The Taxes Zone-16 Dhaka Job Circular has been published a huge job circular by the Authority. All information regarding the Taxes Zone-16 Dhaka Job appointment is given on our website jobstestbd.com. We Publish all job circulars every day, Such as Government Jobs in Bangladesh, Bank Jobs in Bangladesh, Private Jobs in Bangladesh, International NGOs in Bangladesh, Private companies in Bangladesh, and Private University Jobs in Bangladesh. Bank Jobs Results, Government Jobs Results, Government University Jobs Results in Bangladesh, and all Part-time Jobs in Bangladesh and other educational support are available here on our website. We provide different types of job information, some effective information or resources, and job tips that help get a job easily. We trust that our distributing data helps the activity searchers who are looking for better employment. We likewise share slanting assets for learners who are expanding their insight. Our principle target turns into a trusty occupations round site in Bangladesh by distributing a genuine refresh that enables opportunities to individuals. All the jobs on this website are not only for unemployed people but also for employed people. All types of suggestions and question solutions for different competitive exams are available here. We provide all types of educational support on our website jobstestbd.com. So every day visit our website for all kinds of academic support. Please like our Facebook page jobstestbd.com.
Contact Us:
If you want to advertise on our website for any product of your organization don’t hesitate to get in touch with us at the following Address.
Inbox to Facebook: jobstestbd.com
Email at: jobstestbd.com@gmail.com
Contact No.: 01720403750
Mirpur 1, Dhaka, Bangladesh.





