BRDB Accountant Final Viva Result 2022
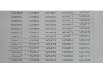
BRDB Accountant Final Viva Result 2022 has been published. Bangladesh Rural Development Board (BRDB) Accountant Final Result 2022 has been published by the authority. BRDB Accountant Viva Result 2022 is …
BRDB Accountant Final Viva Result 2022 Read More