MOF Office Sohayok Exam Question Solution 2025 has been published. MOF Exam Question Solution 2025 has been solved by our educational team. Ministry of Finance Exam Question Solution 2025 is good news for job seekers in Bangladesh. All information on the Ministry of Finance Office Sohayok Exam Question Solution 2025 is available below. The Ministry of Finance (MOF) is a Government Organization in Bangladesh.
MOF Office Sohayok Exam Question Solution 2025:
Organization Name: Ministry of Finance (MOF)
See more…
-
Ministry of Finance (MOF) Written Exam Question Solution 2025
-
Ministry of Finance (MOF) Previous Exam Question Solution
Post Name and Vacancy:
1. Computer Operator – 09
2. Steno Typist Cum Computer Operator – 30
3. Office Assistant Cum Computer Typist – 25
4. Data Entry/Control Operator – 04
5. Office Assistant Cum Computer Typist (Accounts Cell) – 02
6. Office Assistant Cum Computer Typist (Monitoring Cell) – 02
7. Office Support Staff (Office Sohayok) – 58
8. Office Support Staff (Office Sohayok) (Monitoring Cell) – 04
Total Vacancy: 134
Exam Date: 02 May 2025
Exam Time: 03:00 PM to 04:00 PM
See/download Ministry of Finance (MOF) Exam Question Solution 2025 from the below content:
প্রতিষ্ঠানের নামঃ অর্থ মন্ত্রণালয়
পরীক্ষার তারিখঃ ০২ মে ২০২৫
পদের নাম: অফিস সহায়ক
পরীক্ষার সময়ঃ ১ ঘণ্টা
Exam Type: Written
পূর্ণমানঃ ৪০
Note: পরীক্ষার পর যেকোন পরীক্ষার প্রশ্নের সমাধান পেতে jobstestbd.com@gmail.com আমাদের এই মেইলে প্রশ্ন মেইল করতে পারেন। আমাদের টিম সাথে সাথে প্রশ্নের সমাধান করে দেবে ইনশাআল্লাহ্…
Solved and Edited By www.jobstestbd.com
বাংলা অংশের সমাধানঃ
১. সন্ধি-বিচ্ছেদ করুন।
ক. অন্বেষণ = অনু+এষণ
খ. পদ্ধতি = পদ্+হতি
২. শুদ্ধ করে লিখুন।
ক. শপ্তর্ষী = সপ্তর্ষি
খ. সর্বাঙ্গিন = সর্বাঙ্গীণ
৩. অর্থসহ বাক্য রচনা করুন।
ক. লেফাফা দুরস্ত = (বাইরের ঠাঁট বজায় রেখে চলা) = কামরুল সাহেব অফিসের কেরানী হলেও চালন ও আচার-আচরণে লেফাফা দুরস্ত।
খ. শাপে বর = (অকল্যাণ হতে কল্যাণ) = চাকরী না পেয়ে আমার শাপে বর হয়েছে, ব্যবসা করে লক্ষ্মী পেয়েছি।
৪. অনুচ্ছেদ লিখুন। ‘কৃষি উৎপাদনে ক্ষুদ্র ঋণের ভূমিকা’
‘কৃষি উৎপাদনে ক্ষুদ্র ঋণের ভূমিকা’
বাংলাদেশ একটি কৃষিভিত্তিক অর্থনীতির দেশ। জাতীয় আয়ের সিংহভাগ এখনও কৃষি থেকে আসে। কর্মসংস্থানের বড় ক্ষেত্র এখনও কৃষি। বাংলাদেশের কৃষি এখনও ক্ষুদ্রচাষী ভিত্তিক। তাই কৃষি উৎপাদনে ক্ষুদ্রচাষীদের জন্য কৃষি ঋণ অত্যাবশ্যক। কৃষি উৎপাদন বৃদ্ধির জন্য প্রয়োজনীয় কৃষি উপকরণ যেমন- অধিক উৎপাদনশীল বীজ, সার, বালাইনাশক ইত্যাদি ক্রয়ের উদ্দেশ্যে বিভিন্ন উৎস থেকে কৃষক যে ঋণ গ্রহণ করে তাকে কৃষি ঋণ বলে। কৃষি ঋণ হচ্ছে মূলত কৃষক কর্তৃক কৃষি উপাদান ও প্রযুক্তি ক্রয়ের জন্য কোনো ব্যক্তি বা প্রতিষ্ঠানের নিকট থেকে শর্তসাপেক্ষে নিদিষ্ট মেয়াদের জন্য ঋণ গ্রহণ করা। কৃষি উৎপাদন বৃদ্ধি ছাড়াও কৃষি ভূমির উন্নতি সাধন, উৎপাদিত পণ্যের সংরক্ষণ ও প্রক্রিয়াকরণ, পরিবহন, বাজারজাতকরন ইত্যাদি কাজের জন্য কৃষকের যে ঋণের প্রয়োজন হয় তাই হলো প্রধানত কৃষি ঋণ। কৃষি উপকরণাদি ক্রয়সহ শস্য সংগ্রহ, মাড়াই, ঝাড়াই, শুকানো, সংরক্ষণ প্রভৃতি কাজের জন্য ঋণের জন্য প্রয়োজন হয়। এক্ষেত্রে কৃষি ঋণের ভূমিকা অনেক। উৎপাদিত কৃষি পণ্যের নায্যমূল্য পাওয়ার জন্য ফসল গুদামজাতকরণ, পণ্যের পরিবহণ ও বিপণনের জন্য কৃষি ঋণ প্রয়োজন। এছাড়া প্রাকৃতিক দূর্যোগ ঋণ, পারিবারিক ব্যয় মেটানো ও ঋণ পরিশোধে কৃষি ঋণের ভূমিকা অপরিসীম।
ইংরেজি অংশের সমাধানঃ
৫. Change the Gender:
ক. fox = vixen
খ. spinster = bachelor
৬. Fill in the blanks with appropriate prepositions:
ক. During the rain, we took shelter……………a big banyan tree.
Answer: under
খ. He retired ………….a small pension.
Answer: on
৭. Write the Bengali Meaning of the following words:
ক. Horizontal = অনুভূমিক
খ. Copyright = গ্রন্থস্বত্ব
৮. Translate into English:
ক. শিশুটি কাঁদতে কাঁদতে আমার কাছে এলো।
Answer: The child came to me crying
খ. ছেলেটি মাঠে ফুটবল খেলছে।
Answer: The boy is playing football in the field.
৯. Write a paragraph on ‘The Rainy Day’
The Rainy Day’
A rainy day is a day when it rains all day. Usually, such days are seen in monsoons. The persistent sound of raindrops generates a calming harmony, a natural tune accompanying the rhythmic ballet of droplets hitting window panes. Everything looks a little gloomy on a rainy day. The sky turns dark and gray, covered in thick clouds. The roads get all wet and muddy, making it like a messy obstacle course! It can be tricky for people to walk around without getting splashed. Even the birds hide in the trees, and animals stay cozy in their homes. Some grown-ups might not be able to go to work because of the rain. It’s a perfect day to snuggle up with a good book or spend time with family and friends. Rainy days bring joy and a refreshing change from the usual sunny weather.
গণিত অংশের সমাধানঃ
১০। 10 মি.মি. পুরুত্ববিশিষ্ট একটি বর্গাকার ফাঁপা লোহার পাইপের বাইরের এক বাহুর দৈর্ঘ্য 100 সে.মি.। 1 ঘন সে.মি. লোহার ওজন 7.2 গ্রাম হলে 500 মিটার পাইপের ওজন কত?
উত্তরঃ ১৪২৫৬০ কিলোগ্রাম
১১। ৬০ মিটার দীর্ঘ একটি ট্রেনের গতিবেগ ঘণ্টায় ৪৮ কি.মি.। রেললাইনের পাশের একটি খুঁটি অতিক্রম করতে ট্রেনটির কত সময় লাগবে?
উত্তরঃ ৪.৫ সেকেন্ড
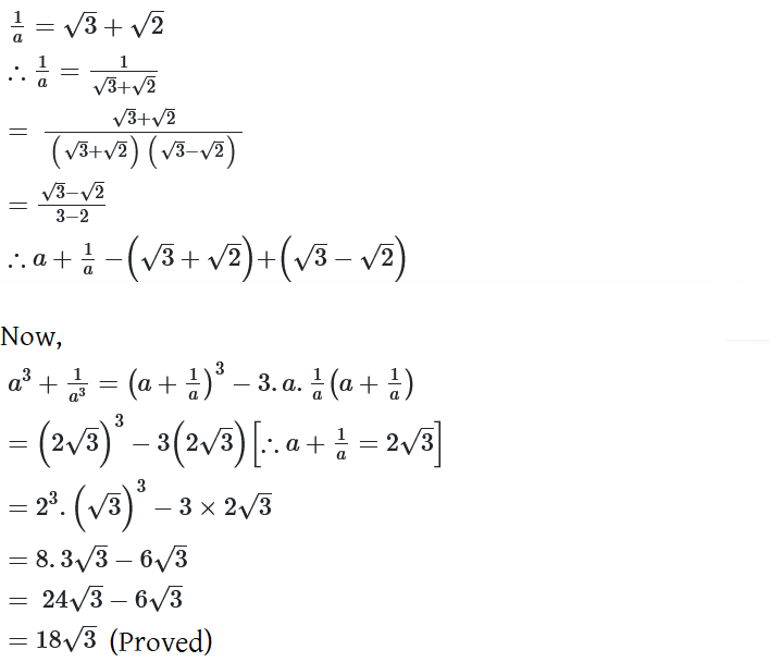
১২। যদি a = √3 + √2 হয়, তবে প্রমাণ করুন যে, a ^ 3 + 1/(a ^ 3) = 18√3
১৩. উৎপাদকে বিশ্লেষণ করুন: x^2 + 7x + 12
উত্তরঃ (x + 4)(x + 3)
সাধারণ জ্ঞান অংশের সমাধানঃ
১৪. সাধারণ জ্ঞান: ১০×১ = ১০
ক. বাংলার সর্বপ্রাচীন জনপদের নাম কী?
উত্তরঃ পুণ্ড
খ. ‘কিউই’ বলা হয় কোন দেশের অধিবাসীকে?
উত্তরঃ নিউজিল্যান্ড
গ. বাংলাদেশের সংবিধান কয়টি ভাষায় রচিত?
উত্তরঃ ২টি [বাংলা ও ইংরেজি]
ঘ. ‘ব্রনেই’ এর রাজধানীর নাম কী?
উত্তরঃ বন্দর সেরি বেগওয়ান
ঙ. বাংলাদেশের ‘হোয়াইট গোল্ড’ হিসেবে পরিচিত কোনটি?
উত্তরঃ চিংড়ি
চ. বিশ্ব পরিবেশ দিবস কত তারিখে পালিত হয়?
উত্তরঃ ৫ জুন
ছ. বাংলাদেশের কোন জেলায় সবচেয়ে বেশি চা বাগান আছে?
উত্তরঃ মৌলভীবাজার
জ. প্রথম ইন্টারনেট ব্যবহারকারী দেশ কোনটি?
উত্তরঃ যুক্তরাষ্ট্র
ঝ. বায়ুমন্ডলে কোন গ্যাসের পরিমাণ সবচেয়ে বেশি?
উত্তরঃ নাইট্রোজেন
ঞ. ডেঙ্গু রোগের জন্য কোন মশা দায়ী?
উত্তরঃ এডিস ইজিপ্টি (Aedes aegypti)
Note: পরীক্ষার পর যেকোন পরীক্ষার প্রশ্নের সমাধান পেতে jobstestbd.com@gmail.com আমাদের এই মেইলে প্রশ্ন মেইল করতে পারেন। আমাদের টিম সাথে সাথে প্রশ্নের সমাধান করে দেবে ইনশাআল্লাহ্…
Solved and Edited By www.jobstestbd.com
See/download the Ministry of Finance Exam Question 2025 from the below image:
Courtesy: To all authorities from where documents are collected
N.B: Generally we try to update any news. For any Change, reform, or republishing of any news, we are not responsible.
For more updates stay on our website jobstestbd.com
Ministry of Finance MOF Exam Question Solution 2025:
The authority has published the Ministry of Finance Job Exam Question Solution 2025. Ministry of Finance (MOF) Job Circular All information is given below. The Ministry of Finance (MOF) is one of the largest Government organizations in Bangladesh. The Ministry of Finance (MOF) has published a huge job circular for the Authority. All information regarding the appointment to the Ministry of Finance (MOF) is given on our website jobstestbd.com. We Publish all job circulars every day, Such as Government Jobs in Bangladesh, Bank Jobs in Bangladesh, Private Jobs in Bangladesh, International NGOs in Bangladesh, Private companies in Bangladesh, and Private University Jobs in Bangladesh. Bank Jobs Results, Government Jobs Results, Government University Jobs Results in Bangladesh, and all Part-time Jobs in Bangladesh and other educational support are available here on our website. We provide different types of job information and some effective information or resources and job tips which help to get a job easily. We trust that our distributing data helps the activity searchers who are finding superior employment. We likewise share slanting assets for learners uniquely who are expanding their insight. Our principle target turns into a trusty occupations round site in Bangladesh by distributing a genuine refresh that enables joblessness to individuals. All the jobs on this website are not only for unemployed people but also for employed people. Suggestions and question solutions for the different competitive exams are available here. We provide all types of educational support on our website jobstestbd.com. So every day tune in to our website for all kinds of educational support. Please like our Facebook page jobstestbd.com.
Contact Us:
If you want to give an advertisement on our website for any product of your organization don’t hesitate to contact us by following Address.
Inbox to Facebook: jobstestbd.com
Email at: jobstestbd.com@gmail.com
Contact No.: 01720403750
Mirpur 1, Dhaka, Bangladesh.



