Directorate of Technical Education (DTE) Job Circular 2025 has been published. The authority has published the DTER Job Circular 2025. The Technical Education Department Job Circular 2025 is hopeful news for job seekers in Bangladesh. All information on the Directorate of Technical Education Job Circular 2025 is available below. The Directorate of Technical Education (DTE) is a Government Organization in Bangladesh.
Directorate of Technical Education Job Circular 2025:
Organization Name: Directorate of Technical Education (DTE)
See more…
-
DTEV Job Circular 2025
-
Directorate of Technical Education (DTE) Exam Question Solution 2024
-
Directorate of Technical Education (DTE) Exam Question Solution 2021
-
DTE Previous Exam Question Solution
-
DTEENG Exam Question Solution 2021
Organization Name: Directorate of Technical Education (DTE)
Post Name And Vacancy:
1. Pharmacist – 02
2. Accountant – 04
3. Upper Division Assistant – 04
4. UDA Cum Data Processor – 01
5. Accountant – 01
6. Cashier (Treasurer) – 05
7. Steno Typist Cum Computer Operator – 05
8. Librarian – 04
9. Compounder – 04
10. Office Assistant Cum Computer Typist – 27
11. Store Keeper (Survey) – 01
12. Data Processor – 29
13. LDA Cum Data Processor – 03
14. Accounts Assistant – 09
15. LDA Cum Cashier – 01
16. LDA Cum Typist – 01
17. Laboratory Assistant Cum Cataloguer – 11
18. Cash Sarkar – 02
19. Skilledman – 01
20. Office Sohayok (Office Support Staff) – 96
Total Vacancy: 218
Online Application Link: Click Here to Apply
Online Application Direct Link: Click Here to Apply
Online Application Last Date: 03 December 2025
Online Application Start Date: 13 November 2025
Job Source: Daily Ittefaq (12 November 2025)
Newspaper Circulation Notice Link: Click here to see the Newspaper Circular Notice
Official Job Circular PDF Notice Link: Click here to see the Official Circular Notice
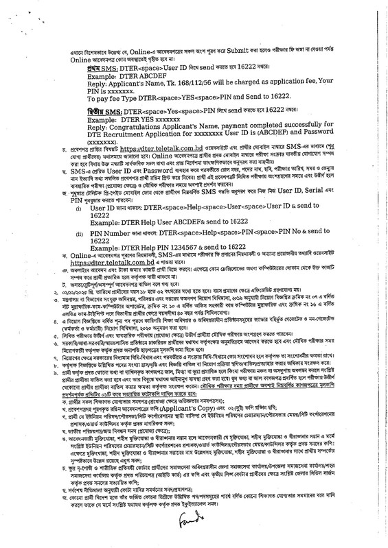
See/download the Directorate of Technical Education Job Circular 2025, Job Application Form, Apply Instructions, Application Fee, Payment Process, Salary, Age, and Other Information from the images below:
Newspaper Circulation Notice:
Previous Job Circular Notice of the Year: 2025
Organization Name: Directorate of Technical Education (DTE)
Job Circular Notice: 01
Job Circular Type: Revised Re-Job Circular
Post Name And Vacancy:
1. Stenographer Cum Computer Operator – 01
2. Librarian – 65
3. Steno Typist Cum Computer Operator – 02
4. Accountant – 28
5. UDA Cum Accountant – 04
6. LDA Cum Store Keeper – 14
7. Assistant Cum Store Keeper – 11
8. Office Assistant Cum Store Keeper – 46
9. LDA Cum Typist – 02
10. Assistant Cum Typist – 02
11. Office Assistant Cum Data Entry/Control Operator – 27
12. Caretaker – 74
13. Driver Cum Mechanic – 02
14. LDA Cum Cashier – 79
15. Craft Instructor (Shop) – 07
16. Craft Instructor (Lab) – 15
17. Office Sohayok/Security Guard – 47
18. Office Sohayok (Office Support Staff) – 317
19. Office Sohayok/Gardener – 05
Total Vacancy: 751
Online Application Link: Click Here to Apply
Online Application Direct Link: Click Here to Apply
Online Application Last Date: 24 March 2025
Online Application Start Date: 04 March 2025
Note:
২৫/০৩/২০২৪ তারিখে জারিকৃত ১৬৭ নং নিয়োগ বিজ্ঞপ্তি অনুযায়ী ইতোমধ্যে যারা আবেদন করেছেন তাদের নতুন করে আবেদন করার প্রয়োজন নাই।
Job Source: Daily Bangladesh Pratiidn (28 February 2025)
Newspaper Circular Notice Link: Click here to see the Newspaper Circular Notice
Official Job Circular PDF Notice Link: Click here to see the Official Circular Notice
Official Revised Job Circular PDF Notice Link: Click here to see the Official Revised Circular Notice
See/download the Directorate of Technical Education Job Circular 2025, Job Application Form, Apply Instructions, Application Fee, Payment Process, Salary, Age, and Other Information from the images below:
Newspaper Circular Notice:
Organization Name: Directorate of Technical Education (DTE)
Job Circular Notice: 02
Post Name And Vacancy:
1. Accountant – 01
2. Store Keeper – 01
3. Cashier – 03
4. Electrician – 01
5. Workshop Attendant – 01
6. Workshop Assistant (Engineer) – 03
7. Lab Assistant (Physics and Chemistry) – 03
8. Messenger Peon – 03
9. Office Sohayok (Office Support Staff) – 02
Total Vacancy: 16
Online Application Link: Click Here to Apply
Online Application Direct Link: Click Here to Apply
Online Application Last Date: 09 March 2025
Online Application Start Date: 16 February 2025
Official Circular PDF Notice Link: Click Here to see the Official Circular Notice
See/download the Directorate of Technical Education Job Circular 2025, Job Application Form, Apply Instructions, Application Fee, Payment Process, Salary, Age, and Other Information from the images below:
Courtesy: To all authorities from where documents are collected
N.B: Generally, we try to update any news. We are not responsible for any changes, reforms, or republishing of any news.
For more updates, stay on our website, jobstestbd.com
Directorate of Technical Education Job Circular 2025:
DTER Job Circular 2025 has been published. The Directorate of Technical Education (DTE) published a job circular for several categories of posts. The Directorate of Technical Education (DTE) is one of the largest Government organizations in Bangladesh. The Directorate of Technical Education (DTE) has published a huge job circular for the Authority. All information regarding the Directorate of Technical Education (DTE) appointment is given on our website, jobstestbd.com. We publish all job circulars daily, Such as Government Jobs in Bangladesh, Bank Jobs in Bangladesh, Private Jobs in Bangladesh, International NGOs in Bangladesh, Private companies in Bangladesh, and Private University Jobs in Bangladesh. Bank Jobs Results, Government Jobs Results, Government University Jobs Results in Bangladesh, and all Part-time Jobs in Bangladesh and other educational support are available here on our website.
We provide different types of job information, effective resources, and job tips to help you get a job easily. We trust that our distribution data helps job seekers who are finding superior employment. We likewise share slanting assets for learners who are expanding their insight. Our main target turns into a trustworthy occupation round site in Bangladesh by distributing a genuine update that enables individuals. All the jobs on this website are not only for unemployed people but also for employed people. All types of suggestions and question solutions for the different competitive exams are available here. We provide all types of educational support on our website, jobstestbd.com. So every day, tune in to our website for all kinds of educational support. Please like our Facebook page, jobstestbd.com.
Contact Us:
If you want to advertise on our website for any product of your organization, please get in touch with us at the following Address.
Inbox to Facebook: jobstestbd.com
Email at: jobstestbd.com@gmail.com
Contact No.: 01720403750
Mirpur 1, Dhaka, Bangladesh.
















