BTCL Exam Date and Admit Download 2025 have been published. Bangladesh Telecommunications Company Limited (BTCL) Exam Date and Admit Card Download 2025 have been published by the authority. The BTCL Accountant Exam Date and Admit Download 2025 is great news for job seekers in Bangladesh. All information on the BTCL Accountant Exam Seat Plan 2025 is available below. Bangladesh Telecommunications Company Limited (BTCL) is a Government Organization in Bangladesh.
BTCL Exam Date and Admit Card Download 2025:
Organization Name: Bangladesh Telecommunications Company Limited (BTCL)
See more…
Circular Type: Re-Job Circular
Post Name And Vacancy:
1. Accountant – 34
2. Technical Assistant – 97
Total Vacancy: 131
Technical Assistant MCQ Exam Date: 05 December 2025
MCQ Exam Time: 10:00 AM to 11.00 AM
Exam Type: Preliminary (MCQ Type)
Exam Taker: BUET
Technical Assistant Total MCQ Exam Candidates: 14,646
Technical Assistant Written Exam Date: 12 December 2025
Written Exam Time: 10:00 AM to 11.00 AM
Exam Type: Written Exam
Exam Taker: BUET
Accountant MCQ Exam Date: 02 January 2026
MCQ Exam Time: 03:30 AM to 04.30 PM
Exam Type: Preliminary (MCQ Type)
Exam Taker: IBA, DU
Accountant Total MCQ Exam Candidates: 10,466
Accountant Written Exam Date: 09 January 2026
Written Exam Time: 03:30 AM to 04.30 PM
Exam Type: Written Exam
Exam Taker: IBA, DU
Admit Download Link: Click here to download the Admit Card
N.B: SMS has been sent to the candidate’s mobile number to download the admit card. Detailed exam information is available on the admit card.
Accountant MCQ Exam Seat Plan PDF Notice Link: Click here to see the Official Exam Seat Plan Notice
Accountant Revised Exam Date PDF Notice Link: Click here to see the Official Revised Exam Notice
Accountant Exam Date PDF Notice Link: Click here to see the Official Exam Notice
Official Written Exam Seat Plan PDF Notice Link: Click here to see the Official Written Exam Seat Plan Notice
Official Exam Date PDF Notice Link: Click here to see the Official Exam Notice
Official Exam Instructions PDF Notice Link: Click here to see the Official Exam Instructions Notice
Official MCQ Exam Seat Plan PDF Notice 01 Link: Click here to see the Official Exam Seat Plan Notice
Official MCQ Exam Seat Plan PDF Notice 02 Link: Click here to see the Official Exam Seat Plan Notice
See/download Bangladesh Telecommunications Company Limited Exam Date, Exam Seat Plan, Exam Instructions, and Admit Download Notice 2025 from the images below:
Accountant MCQ Exam Seat Plan Notice:
Accountant Revised Exam Notice:
Accountant Exam Notice:
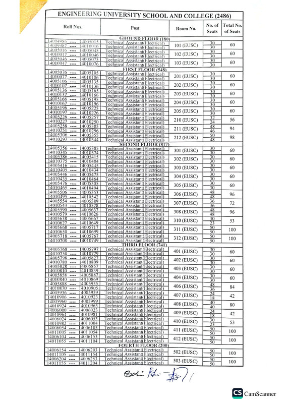
Technical Assistant Written Exam Seat Plan Notice:
Technical Assistant Exam Date Notice:
Technical Assistant MCQ Exam Seat Plan Notice:
The Job Circular Information was:
Job Circular Year: 2025 + 2023
Online Application Last Date: 29 April 2025
Online Application Start Date: 15 April 2025
Note:
বিটিসিএল প্রধান কার্যালয় হতে প্রকাশিত নিয়োগ বিজ্ঞপ্তি নং- ১৪.৩৩.০০০০.০২৬.১১.০০২.২৩.৩ তারিখঃ ৩০-১০-২০২৩ খ্রি. এর প্রেক্ষিতে টেকনিক্যাল অ্যাসিস্ট্যান্ট পদে প্রার্থীদের কৃত আবেদন বহাল থাকায় ইতোপূর্বে আবেদনকারীদের পুনরায় আবেদনের প্রয়োজন নেই।
Official Circular PDF Notice Link: Click Here to view the Official Circular Notice
Courtesy: To all authorities from where documents are collected.
N.B: Generally, we try to update any news. For any Change, reform, or republishing of any news, we are not responsible.
For more updates, stay with our website jobstestbd.com
BTCL Job Exam Notice 2025:
The BTCL Job Exam Date 2025 has been published. Bangladesh Telecommunications Company Ltd. (BTCL) is one of the Government organizations in Bangladesh. Bangladesh Telecommunications Company Limited (BTCL) has published a huge job circular by the Authority. All information regarding the appointment of Bangladesh Telecommunications Company Ltd. (BTCL) is given on our website, jobstestbd.com. We publish all job circulars daily, Such as Government Jobs in Bangladesh, Bank Jobs in Bangladesh, Private Jobs in Bangladesh, International NGOs in Bangladesh, Private companies in Bangladesh, and Private University Jobs in Bangladesh. Bank Jobs Results, Government Jobs Results, Government University Jobs Results in Bangladesh, and all Part-time Jobs in Bangladesh and other educational support are available here on our website. We provide different types of job information, and also provide some effective information or resources and job tips that help to get a job easily. We trust that our distributed data helps job seekers who are looking for better employment. We likewise share slanting assets for learners who are expanding their insight. Our prime target turns into a trustworthy occupation site in Bangladesh by distributing a genuine update that provides opportunities for individuals. All the jobs on this website are not only for unemployed people but also for employed people. Suggestions and question solutions for the different competitive exams are available here. We provide all types of educational support on our website, jobstestbd.com. So every day, visit our website for all kinds of educational support. Please like our Facebook page, jobstestbd.com.
Contact Us:
If you want to give an advertisement on our website for any product of your organization, please contact us by following the Address.
Inbox to Facebook: jobstestbd.com
Email at: jobstestbd.com@gmail.com
Contact No.: 01720403750
Mirpur 1, Dhaka, Bangladesh.




























