Anti-Corruption Commission (ACC) Constable Physical Fitness and Viva Date 2025 has been published. Anti-Corruption Commission Constable Physical Fitness and Viva Date 2025 has been published by the authority. Dudok Constable Constable Physical Fitness and Viva Date 2025 is good news for job seekers in Bangladesh. All information about the Anti-Corruption Commission Constable Viva Date 2025 is available below. The Anti-Corruption Commission (ACC) is a government organization in Bangladesh.
Anti-Corruption Commission Constable Physical Fitness Test and Viva Date 2025:
Organization Name: Anti-Corruption Commission (ACC)
See more…
-
ACC Constable Exam Question Solution 2022
-
ACC Constable Exam Question Solution 2019
-
NSI Watcher Constable Exam Question Solution 2021
-
Anti-Corruption Commission (ACC) Written Exam Question Solution 2020
-
Anti-Corruption Commission (ACC) Exam Question Solution 2019
-
ACC Previous Exam Question Solution
Post Name and Vacancy:
1. Constable – 91
2. Office Sohayok (Office Support Staff) – 10
Total Vacancy: 101
Constable Exam Date: 31 October 2025
Exam Time: 10:00 AM to 10:30 AM
Exam Type: Preliminary (MCQ Type)
Constable Total MCQ Exam Candidates: 1,53,521
Exam Syllabus and Marks Distribution:
1. Bangla (10×2) = 20 Marks
2. English (10×2) = 20 Marks
3. General Knowledge (10×2) = 20 Marks
4. General Mathematics (5×2) = 10 Marks
Total MCQ Questions: 35 Questions
Total MCQ Marks: 35 × 2 = 70 Marks
Total MCQ Marks: 70 Marks
MCQ Exam Time: 30 Minutes
Viva Marks: 30 Marks
Total Marks: 100 Marks
Physical Fitness and Viva Start Date: 05 November 2025
Total Selected for Physical Fitness and Viva: 524
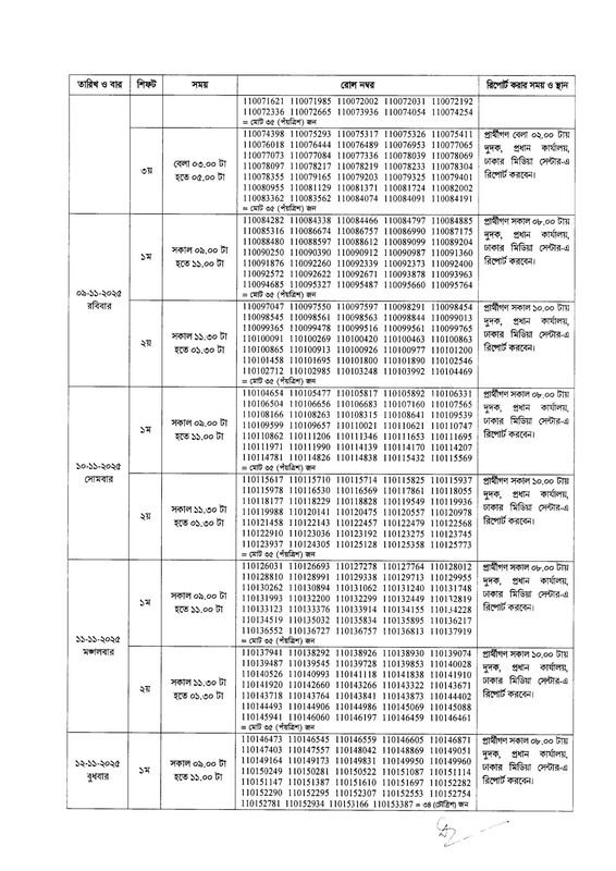
Constable Physical Fitness Test and Viva Date: 05 to 12 November 2025
Physical Fitness Test and Viva Time Shift: 09:00 AM to 11:00 AM, 11:30 AM to 01:30 PM, 10:00 AM to 12:00 PM, 03:00 PM to 05:00 PM
Official Physical Fitness Test and Viva PDF Notice Link: Click here to see the Official Viva Practical Test Notice
Official MCQ Exam Result PDF Notice Link: Click here to see the Official Exam Result Notice
See/Download Anti-Corruption Commission (ACC) Physical Fitness Test and Viva Date Notice 2025 from the images below:
Courtesy: To all authorities from where documents are collected
N.B.: Generally, we try to update any news. For any changes, reforms, or republished of any news, we are not responsible.
For more updates, stay with our website jobstestbd.com
ACC (Dudok) Physical Fitness Test and Viva Date 2025:
The authority has published the Dudok Constable Physical Fitness Test and Viva Date 2025. The Anti-Corruption Commission (ACC) is one of the largest Government organizations in Bangladesh. The Anti-Corruption Commission (ACC) has published a huge job circular for the Authority. All information regarding the appointment of the Anti-Corruption Commission (ACC) is given on our website, jobstestbd.com. We publish all job circulars daily, including government jobs in Bangladesh, Bank Jobs in Bangladesh, Private Jobs in Bangladesh, International NGOs in Bangladesh, Private companies in Bangladesh, and Private University Jobs in Bangladesh. Results of Bank Jobs, Government Jobs, Government University Jobs, and Part-time Jobs in Bangladesh, as well as educational support, are available on our website. We provide different types of job information and give some adequate information or resources and job tips that help to get a job easily. We trust that our distributed data helps the job seekers who are looking a superior employment. We likewise share slanting assets for learners who are expanding their knowledge. Our primary goal is to establish a trustworthy online platform in Bangladesh by providing accurate information that benefits individuals. All the jobs on this website are not only for unemployed individuals but also for those who are employed. All types of suggestions and question solutions for the different competitive exams are available here. We provide various kinds of educational support on our website, jobstestbd.com. So every day, tune in to our website for all kinds of academic support. Please like our Facebook page, jobstestbd.com.
Contact Us:
If you want to give an advertisement on our website for any product of your organization, don’t hesitate to get in touch with us by following the Address.
Inbox to Facebook: jobstestbd.com
Email at: jobstestbd.com@gmail.com
Contact No.: 01720403750
Mirpur 1, Dhaka, Bangladesh.




